あまり見かけないでしょうが、
1分足でピンクの移動平均線の群集
これが細く束なりミントブルーの移動平均線の群集との、
位置関係でピンクがスカイブルーの束の中に入った時に
4つの条件が整えばエントリーの準備、
GOかSTOPの判断は5分足の今までの相場の流れを見てから、

←クリックすると大きくなります
スカイブルーと
グレーと緑の移動平均線に触れ
跳ね返されているようであれば、
トレンドの変換はなしと見る。
例外もあり揉みあうところは上下どちらかに、
触れますが

←クリックすると大きくなります
(また15分足などで
過去の揉みあった
値のところはOPの可能性があり

←クリックすると大きくなります
余程の材料が出た後で無い限り、
抜けて行くことは難しく、
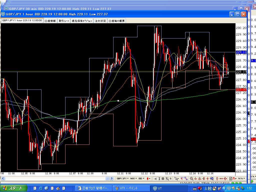
丁度228.00円の白いラインあたりかな
1つの決済ポイントと見ても良いと思います。)
スカイブルーとグレーの移動平均線はベガスラインと呼ばれ、
これを抜けていくようであれば強いシグナルと言われてます。
さらに緑の移動平均線を抜ければ、
それはサポートもしくはレジスタンスに変わる可能性が強い。
そしてボリンジャーバンドの関係、
真横に伸びていかない様子であればトレンドは変わりつつ無い。
出来るだけ天底で取りたいとすればひたすら待つ。
さてピンクの移動平均線の群集これが細く束なり
スカイブルーの移動平均線の群集との、
束の中に入った時に4つの条件が整えばエントリーの準備ですが、
1 PARABOLIC SARが反転しているか否か。
2 Relative Strengthが50の線を (上下に) 越えているか
3 ADX サイン (売り・買い) を出しているか。
4 ADXがしっかりとトレンドをあらわしているか
←クリックすると大きくなります
しかし相場が大きく変わる
節目である時間帯や
指標発表時は控える事もお忘れなく。
関連記事
http://kabutousi.blog.shinobi.jp/Entry/557/
http://kabutousi.blog.shinobi.jp/Entry/556/

PR